• Предмет: Алгебра
  • Автор: valigfffffffff
  • Вопрос задан 8 лет назад

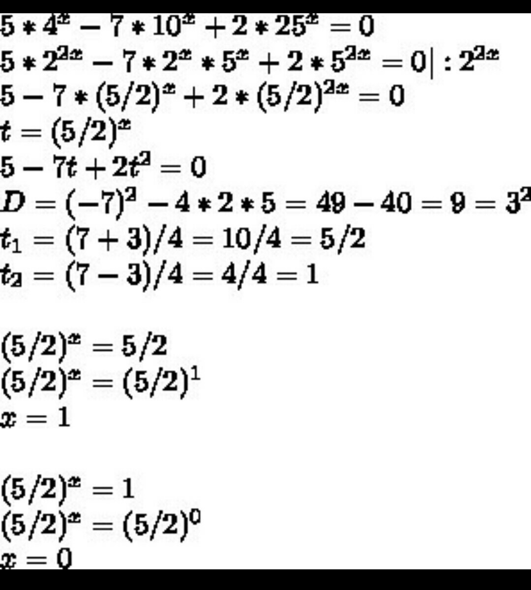
что означает | : 2^2x в уравнении

Приложения:

Ответы

Ответ дал: 1233090
0
^ обозначает степень. Значит 2^2х означает два в степени два икс.|:означает,что обе части уравнения делятся на 2^2х
Ответ дал: 1233090
0
Спасибо за оценку
Вас заинтересует