• Предмет: Геометрия
  • Автор: YuukiAsuna
  • Вопрос задан 8 лет назад

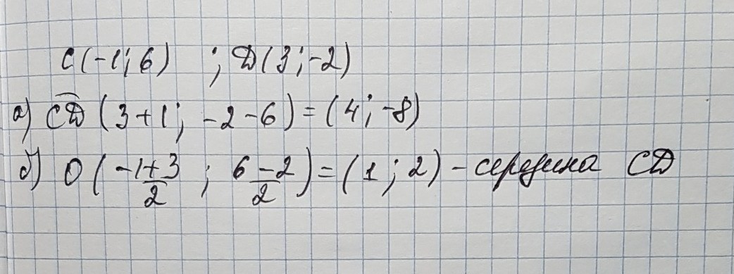
Найти а) координаты вектора CD, если С (-1,6), Д (3,-2)
б) найти координаты середины отрезка СD

Ответы

Ответ дал: 1233090
0
решение задания смотри на фотографии
Приложения:
Вас заинтересует