• Предмет: Алгебра
  • Автор: Аноним
  • Вопрос задан 8 лет назад

Помогите пожалуйста.
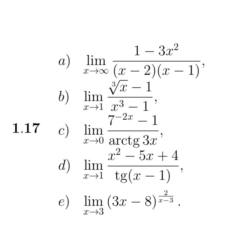
Найти пределы функций, не используя правило Лопиталя

Приложения:

Ответы

Ответ дал: Indentuum
0

Все переходы - следствия замечательных пределов

a)

limlimits_{n to infty} frac{1 - 3x^2}{(x - 2)(x - 1)} = limlimits_{n to infty} frac{x^2(frac{1}{x^2} - 3)}{x^2(1 - frac{2}{x})(1 - frac{1}{x})} = -3

b)

limlimits_{x to 1} frac{sqrt[3]{x} - 1}{x^3 - 1} \t = x - 1, x = t + 1 \limlimits_{t to 1} frac{sqrt[3]{1 + t} - 1}{(1 + t)^3 - 1} = limlimits_{t to 1}  frac{frac{1}{3}x}{3x} = frac{1}{9}

c)

limlimits_{x to 0} frac{7^{-2x} - 1}{arctg(3x)} = limlimits_{x to 0} frac{-2xln(7)}{3x} = -frac{2ln(7)}{3}

d)

limlimits_{x to 1} frac{x^2 - 5x + 4}{tg(x - 1)}\t = x - 1, x = t + 1\limlimits_{t to 0} frac{t(t - 3)}{tg(t)} = limlimits_{t to 0} frac{t(t - 3)}{t} = limlimits_{t to 0} (t - 3) = -3

e)

limlimits_{x to 3} (3x - 8)^{frac{2}{x - 3}}\t = x - 3, x = t + 3 \limlimits_{t to 0} (3t + 1)^{frac{2}{t}} = limlimits_{t to 0} (((1 + 3t)^{frac{1}{3t}})^{3t})^{frac{2}{t}} = limlimits_{t to 0} e^{frac{6t}{t}} = e^6

Вас заинтересует