• Предмет: Алгебра
  • Автор: xxvolodyax7p8bnz1
  • Вопрос задан 8 лет назад

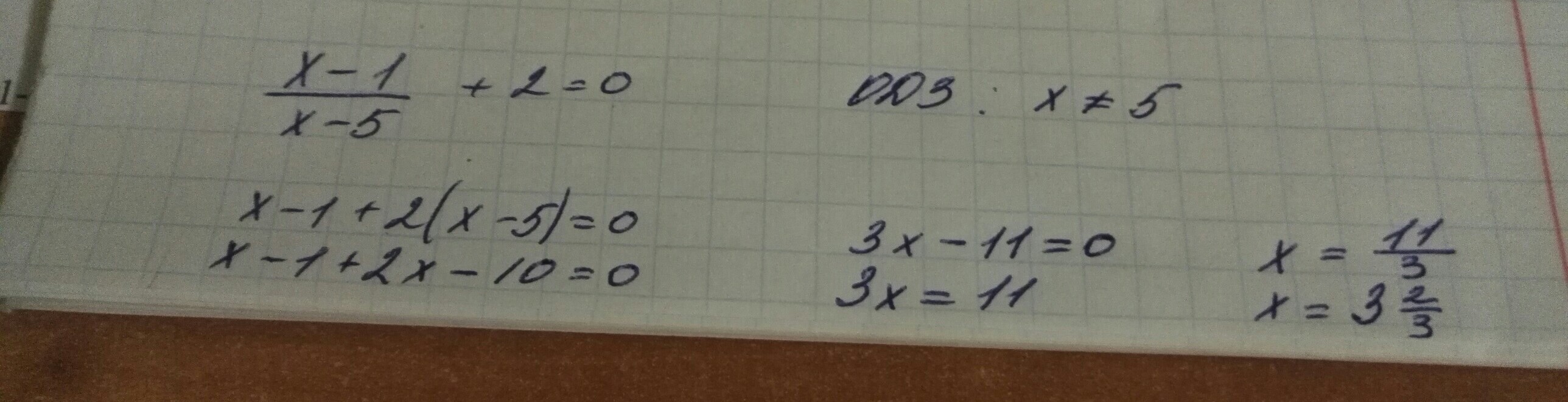
x-1
---- +2 =0, помогите пж
x-5

Ответы

Ответ дал: lena25073
0
решение на фото......
Приложения:
Вас заинтересует