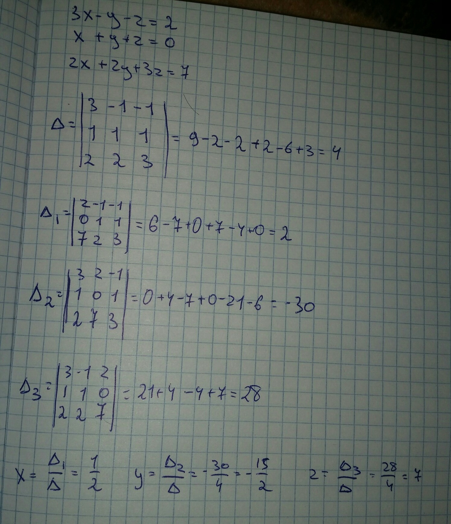
Задача 5 Решить систему линейных уравнений по правилу Крамера. Сделать проверку правильности решения. 3x-y-z=2
x+y+z=0
2x+2y+3z=7
Помогите, пожалуйста! С подробным решением.
Ответы
Ответ дал:
0
Надеюсь помог с ответом )
Приложения:

Вас заинтересует
2 года назад
2 года назад
3 года назад
3 года назад
9 лет назад