• Предмет: Алгебра
  • Автор: zrfnzk
  • Вопрос задан 8 лет назад

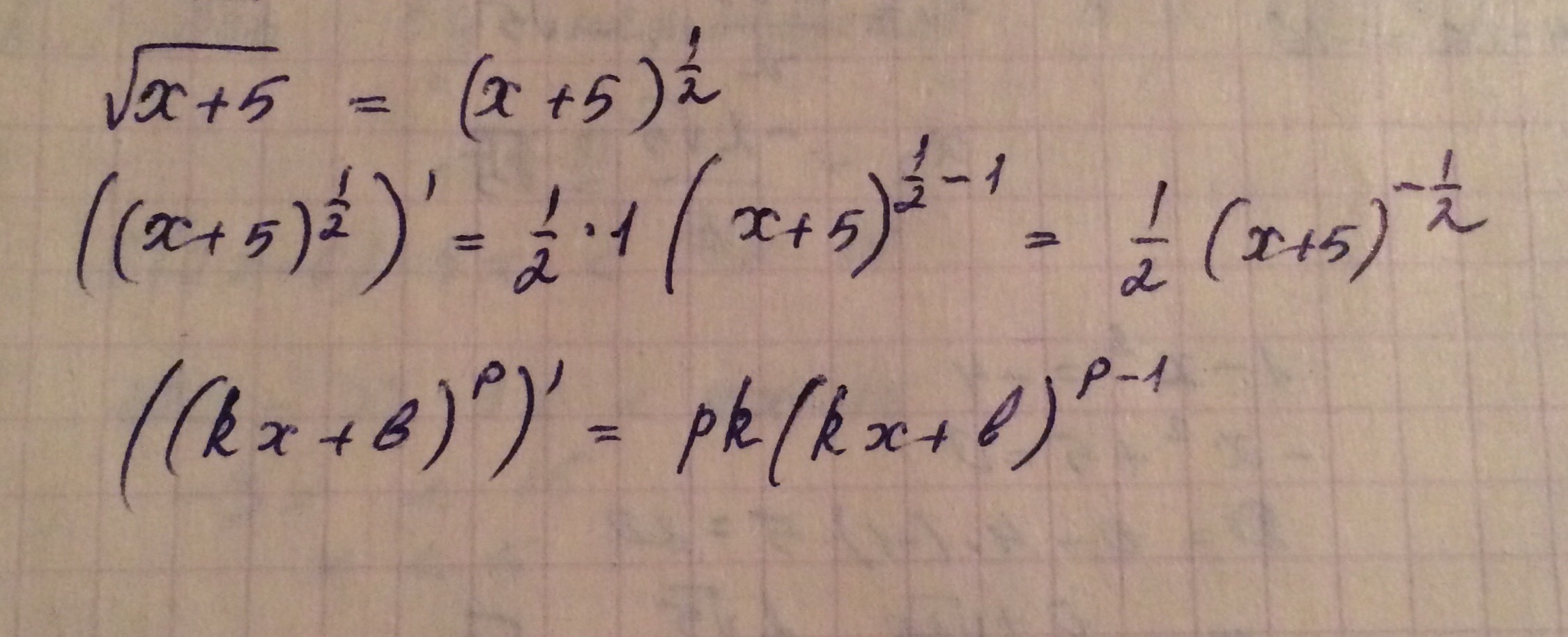
Срочно. Помогите пожалуйста. Много баллов. № 68(4) Найти производную функции.

Приложения:

Ответы

Ответ дал: tatnik12
0

внизу на фото даю формулу

Приложения:
Ответ дал: ВинтЛили
0

d/dx(sqrt(5+x))=(d/dx(5+x))/(2*sqrt(x+5))=1/(2*sqrt(x+5))

Приложения:
Вас заинтересует