Ответы
Ответ дал:
0
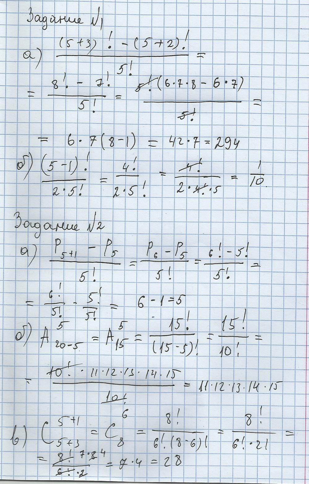
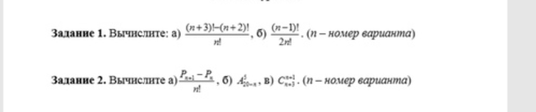
1) а) (8! - 7!) / 5! = (5!*6*7*8 - 5!*6*7) / 5! = 6*7*8 - 6*7 = 42*(8 - 1) = 42*7 = 294
б) 4! / (2*5!) = 4! / (2*4!*5) = 1 / (2*5) = 1/10
2) а) (P(6) - P(5)) / 5! = (6! - 5!) / 5 = (5!*6 - 5!) / 5! = 6 - 1 = 5
б) A(5, 15) = 15*14*13*12*11 = 360360
в) C(6, 8) = C(8-6, 8) = C(2, 8) = 8*7/2 = 28
Ответ дал:
0
ПОМОЖЕТЕ?
Ответ дал:
0
https://znanija.com/task/30461765
Ответ дал:
0
Решение во вложении.
Приложения:

Вас заинтересует
2 года назад
3 года назад
3 года назад
9 лет назад
9 лет назад
9 лет назад