Помогите дам 90 баллов
Представьте каждый компонент
в виде обыкновенной дроби и найдите значение выражения:
5,(3)+2,(6)
7,(4)-3,(1)
9,(4)+4,(5)
6,(12)-3,(6)
Ответы
Ответ дал:
0
Ответ дал:
0
оно общее поэтому мы три умножаем на два и получаем шесть, то есть общий знаминатель
Ответ дал:
0
пять умножить на два и мы получаем 10
Ответ дал:
0
десять шестых + две шестых
Ответ дал:
0
ок спасибо
Ответ дал:
0
двеннадцать шестых
Ответ дал:
0
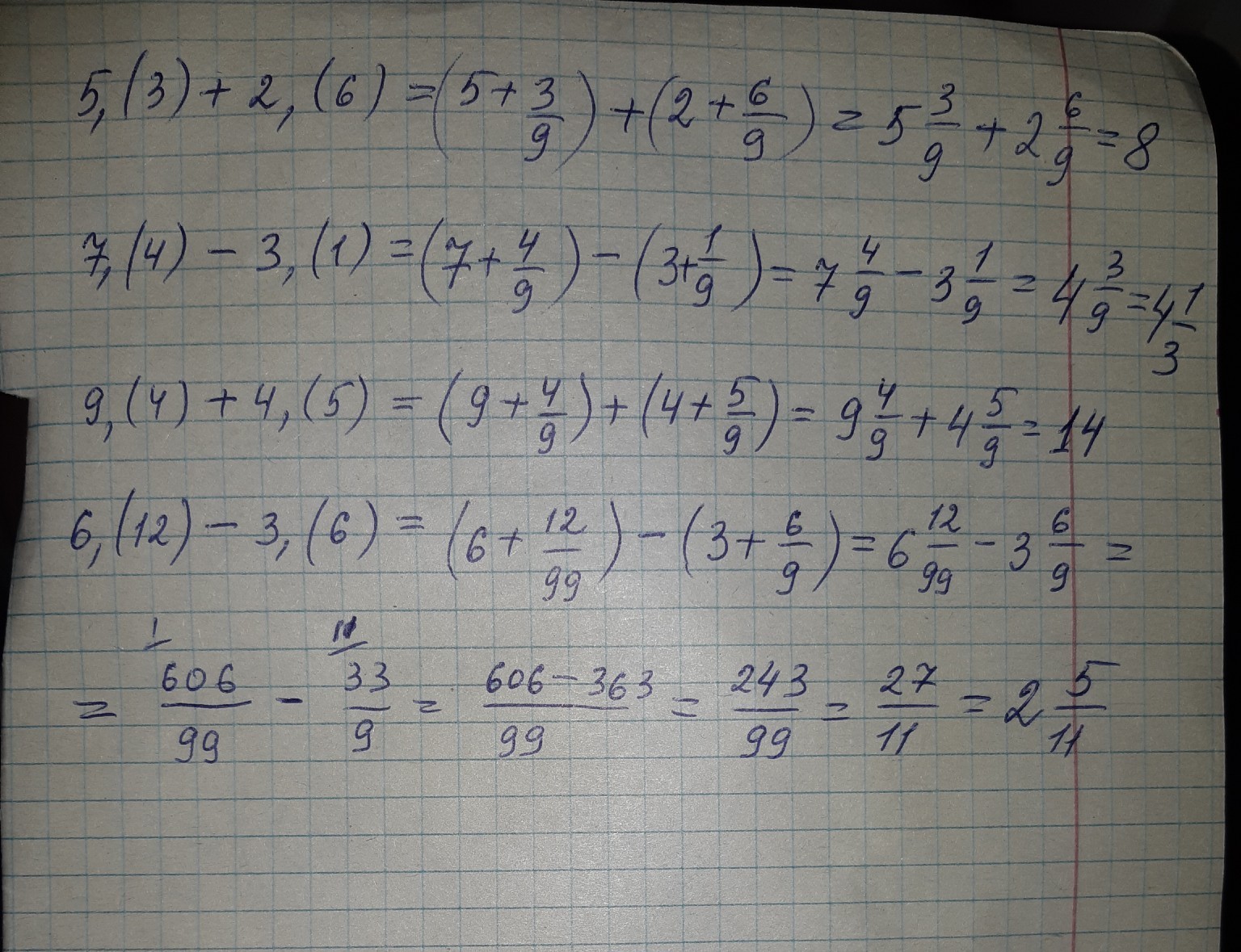
если в скобках - это период, то решение на фото.
пример решения периода:
5,(3)
0,3÷(1-(1/10))=3/10÷9/10=3/10×10/9=3/9
5+3/9=5 цел. 3/9
если в задании десятичная дробь, то:





пример решения периода:
5,(3)
0,3÷(1-(1/10))=3/10÷9/10=3/10×10/9=3/9
5+3/9=5 цел. 3/9
если в задании десятичная дробь, то:
Приложения:

Ответ дал:
0
дописала...если это период )))
Ответ дал:
0
ну блин.. хорошо что изменения не такие большие
Ответ дал:
0
спасибо
Ответ дал:
0
извини, я задание не так поняла((
Ответ дал:
0
как посмотреть задание
Ответ дал:
0
Ответ дал:
0
Вас заинтересует
2 года назад
2 года назад
3 года назад
3 года назад
9 лет назад
9 лет назад