Ответы
Ответ дал:
0
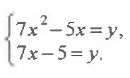
7x^2-5x=7x-5
7x^2-5x-7x+5=0
7x^2-12x+5=0
D=b^2-4ac=144-4×7×5=144-140=4
x1=(-b-√D)/2a=(12-2)/14=10/14=5/7
x2=(-b+√D)/2a=(12+2)/14= 14/14=1
y1=0
y2=2
7x^2-5x-7x+5=0
7x^2-12x+5=0
D=b^2-4ac=144-4×7×5=144-140=4
x1=(-b-√D)/2a=(12-2)/14=10/14=5/7
x2=(-b+√D)/2a=(12+2)/14= 14/14=1
y1=0
y2=2
Ответ дал:
0
А y где?
Ответ дал:
0
есть же
Ответ дал:
0
Где?
Ответ дал:
0
Ответ на фото//////////
Приложения:

Вас заинтересует
2 года назад
2 года назад
3 года назад
9 лет назад