• Предмет: Алгебра
  • Автор: ezubacek
  • Вопрос задан 8 лет назад

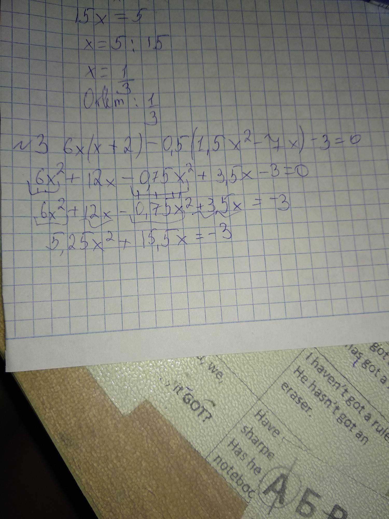
6х(х+2)-0,5(1,5х^2-7х)-3=0 я поняла как приводить, но как решить дальше я не знаю помогите пожалуйста..

Приложения:

Ответы

Ответ дал: anmih
0

6х(х+2)-0,5(1,5х^2-7х)-3=0

6x² +12x - 0.75 x² + 3.5 x - 3 = 0

5.25 x² + 15.5x - 3 = 0  

D = 15.5² + 12 * 5.25 = 240.25 + 63 = 303.25

x(1) = (-15.5 + √303.25) / 10.5

x(2) = (-15.5-√303.25) / 10.5

Вас заинтересует