Ответы
Ответ дал:
0
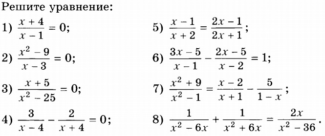
1) Одз: х-1≠0
х≠1
х+4=0
х=-4
2)одз х≠3
х²-9=0
х=3 или х=-3
х=3 не подходит
3) одз: х≠5 и х≠-5
х+5=0
х=-5
не подходит, нет корней
4) одз: х-4≠0 и х+4≠0
х≠4 и х≠-4
3х+12-2х+8=0
х=-20
Ответ дал:
0
А ты это на листочке решала?
Ответ дал:
0
нет
Ответ дал:
0
1) х≠1

2) х≠3

3)

2) х≠3
3)
Ответ дал:
0
Спасибо
Вас заинтересует
2 года назад
3 года назад
3 года назад
9 лет назад
9 лет назад