• Предмет: Математика
  • Автор: Бекзод06
  • Вопрос задан 8 лет назад

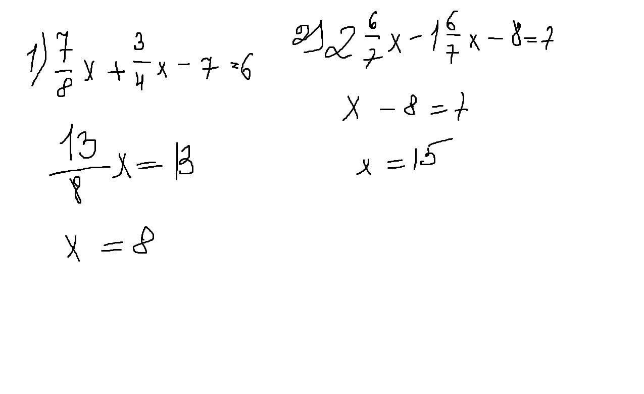
решите уравнение. 7/8 х+3/4 х-7=6; 2целых 6/7 х-1 целых 6/7 х-8=7 помогите пожалуйста

Ответы

Ответ дал: efilippova0204
0

Ответы на фото.  Думаю все понятно

Приложения:
Ответ дал: efilippova0204
0
Не так считаешь. Нужно найти общий знаменатель
Ответ дал: efilippova0204
0
а потом подписать множители над числителем каждым
Ответ дал: efilippova0204
0
Не учили штоль еще ?
Ответ дал: Бекзод06
0
учили я плохо понял
Ответ дал: Бекзод06
0
спасибо вам большое решил
Вас заинтересует