• Предмет: Математика
  • Автор: vikysik67
  • Вопрос задан 8 лет назад

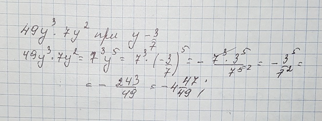
49y³×7y² при y= -37

Ответы

Ответ дал: 1233090
0
решение задания смотри на фотографии
Приложения:
Вас заинтересует