Ответы
Ответ дал:
0
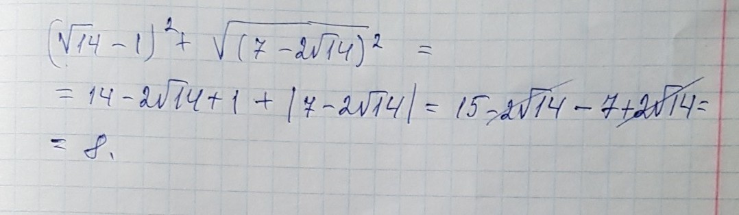
решение задания смотри на фотографии
Приложения:

Ответ дал:
0
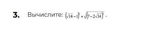
Можете мою задачку посмотреть?
Вас заинтересует
2 года назад
3 года назад
3 года назад
9 лет назад