• Предмет: Алгебра
  • Автор: sdfgdgfdfs
  • Вопрос задан 8 лет назад

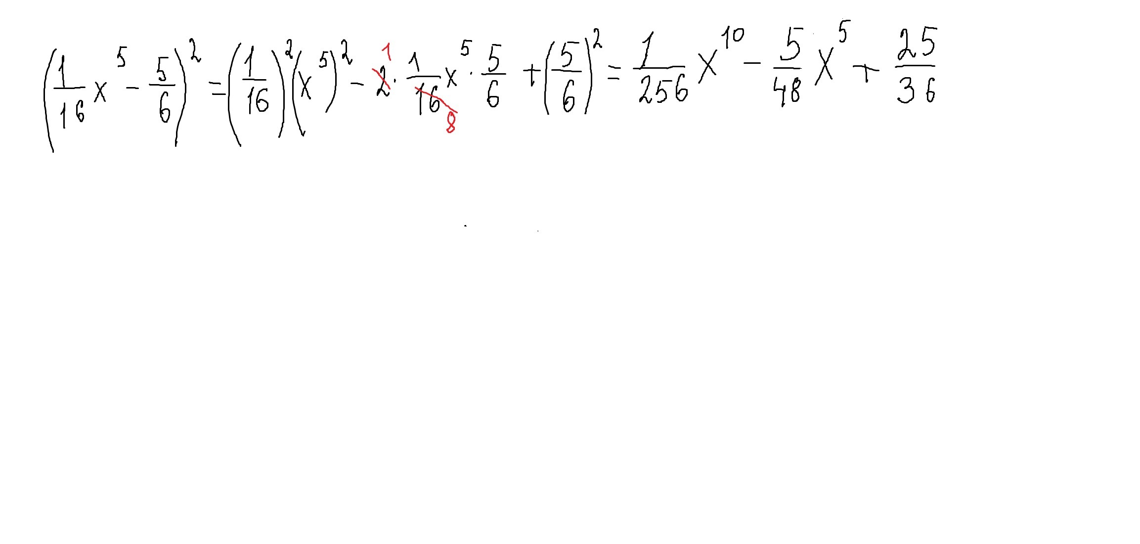
Помогите пожалуйста!

Приложения:

Ответы

Ответ дал: burlesh2015
0

1/256X7 - 2×1/6X5×5/6+25/36

Ответ дал: parus77
0
при возведении степени в степень показатели перемножаются! и 116 тоже надо возвести в квадрат.исправьте.
Ответ дал: burlesh2015
0
я извеняюсь на бумаги написал праильно а периписал неправильно
Ответ дал: parus77
0
ничего страшного.исправьте.
Ответ дал: parus77
0

решение смотри внизу

Приложения:
Вас заинтересует