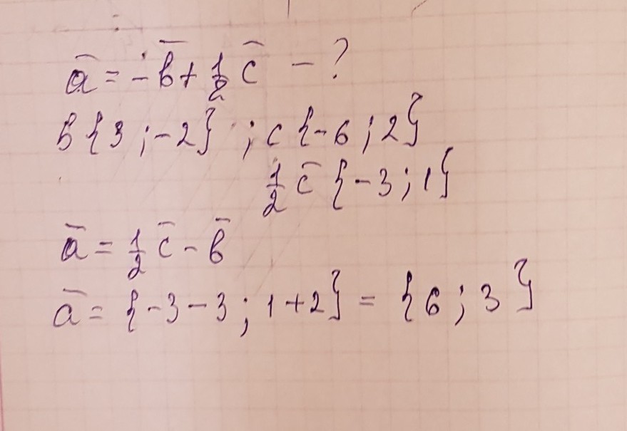
Найдите координаты вектора а , если вектор а= - вектор b + 1/2c , вектор b {3;-2} , вектор c{-6;2}
Ответы
Ответ дал:
0
решение задания смотри на фотографии
Приложения:

Вас заинтересует
3 года назад
3 года назад
9 лет назад
9 лет назад
9 лет назад