• Предмет: Алгебра
  • Автор: 1234567011
  • Вопрос задан 8 лет назад

Срочно!!! 38БАЛЛОВ ПОМОГИТЕ!!Найти производную функции:

Приложения:

Ответы

Ответ дал: oganesbagoyan
0

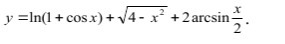
task/30656503                                          Найти производную функции :              y =ln(1+cosx) +√(4-x²) +2arcsin(x/2)

решение   y '  = ( ln(1+cosx)+(√4-x²)+2arcsin(x/2) ) ' =( ln(1+cosx) ) ' + (√(4-x²) ) ' + (2arcsin(x/2) ) ' = ( 1/(1+cosx) ) *(1+cosx) ' + ( 1/2(4-x²) )*(4 - x²) ' +2*(arcsin(x/2) ) ' =( 1/(1+cosx) ) *(0 - sinx) + ( 1/2√(4-x²) )*(0-2x)  +( 2*1/√(1 -(x/2)² ) * (x/2) '  =  sinx/(1+cosx)   - x/√(4-x²)  +( 2*1/√(1 -x²/4) )*  1/2 =

=  - sinx / (1+cosx) - x/√(4 - x²) +2/√(4 -x²)  Все. Но можно и продолжать и "упростить"

 -2sin(x/2)*cos(x/2) / 2cos²(x/2) +(2 -x)/√(4 -x²) = -tg(x/2) +(2-x) *√(4 - x²) / (4 - x²)  = -tg(x/2) +(2 - x)*√(4 - x²) / (2 - x)*(2+x) =

√(4 - x²) / (2+x)  - tg(x/2) .

Ответ дал: 1234567011
0
спасибо)
Ответ дал: oganesbagoyan
0
- sinx / (1+cosx) - x/√(4 - x²) +2/√(4 -x²)
Ответ дал: oganesbagoyan
0
ИЛИ ≡ - sinx / (1+cosx) - √(4 -x²) / (2 + x)
Вас заинтересует