Ответы
Ответ дал:
0
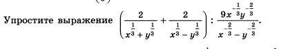
2(х^1/3-у^1/3)+(х^1/3+у^1/3)*
*(1/(х^2/3-у2/3)*(х^(-2/3)-у^(-2/3)/(9х^(-1/3)у^2/3
4*х^1/3*1/(х^2/3-у^2/3)*(у^2/3-х^2/3)/х^2/3у^2/3
*1/(9х^-1/3*у^2/3)=
-4*х^2/3/(9*х^2/3**у^2/3*у^2/3)=
-4/(9*у^4/3)
*(1/(х^2/3-у2/3)*(х^(-2/3)-у^(-2/3)/(9х^(-1/3)у^2/3
4*х^1/3*1/(х^2/3-у^2/3)*(у^2/3-х^2/3)/х^2/3у^2/3
*1/(9х^-1/3*у^2/3)=
-4*х^2/3/(9*х^2/3**у^2/3*у^2/3)=
-4/(9*у^4/3)
Вас заинтересует
2 года назад
2 года назад
3 года назад
3 года назад
9 лет назад
9 лет назад
10 лет назад
10 лет назад