• Предмет: Математика
  • Автор: cireiieladiel
  • Вопрос задан 8 лет назад

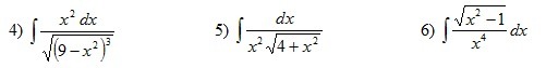
Нужна помощь с интегралами

Приложения:

Ответы

Ответ дал: HSS9860
0

Посмотрите предложенное решение; оформление не соблюдалось; в квадратных скобках указана замена - необязательная к записи часть.

Приложения:
Вас заинтересует