• Предмет: Математика
  • Автор: cireiieladiel
  • Вопрос задан 8 лет назад

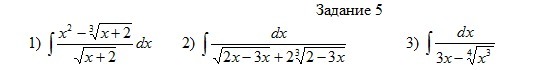
Нужна помощь с интегралами

Приложения:

Ответы

Ответ дал: HSS9860
0

Посмотрите решение для №1 и №3, ответ подчёркнут цветным.

Так как в №2 под первым корнем неясное условие, то он не решался.

Приложения:
Вас заинтересует