• Предмет: Алгебра
  • Автор: yeahnot2288
  • Вопрос задан 8 лет назад

Помогите решить! Алгебра 7 класс, отдал все баллы)

Приложения:

Ответы

Ответ дал: kino3262
0
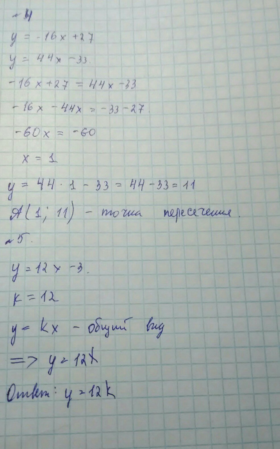
если что то не видно пиши, и ответ сам напиши
Приложения:
Ответ дал: yeahnot2288
0
Ты мой спаситель!
Вас заинтересует