• Предмет: Математика
  • Автор: glebstefanovsky
  • Вопрос задан 8 лет назад

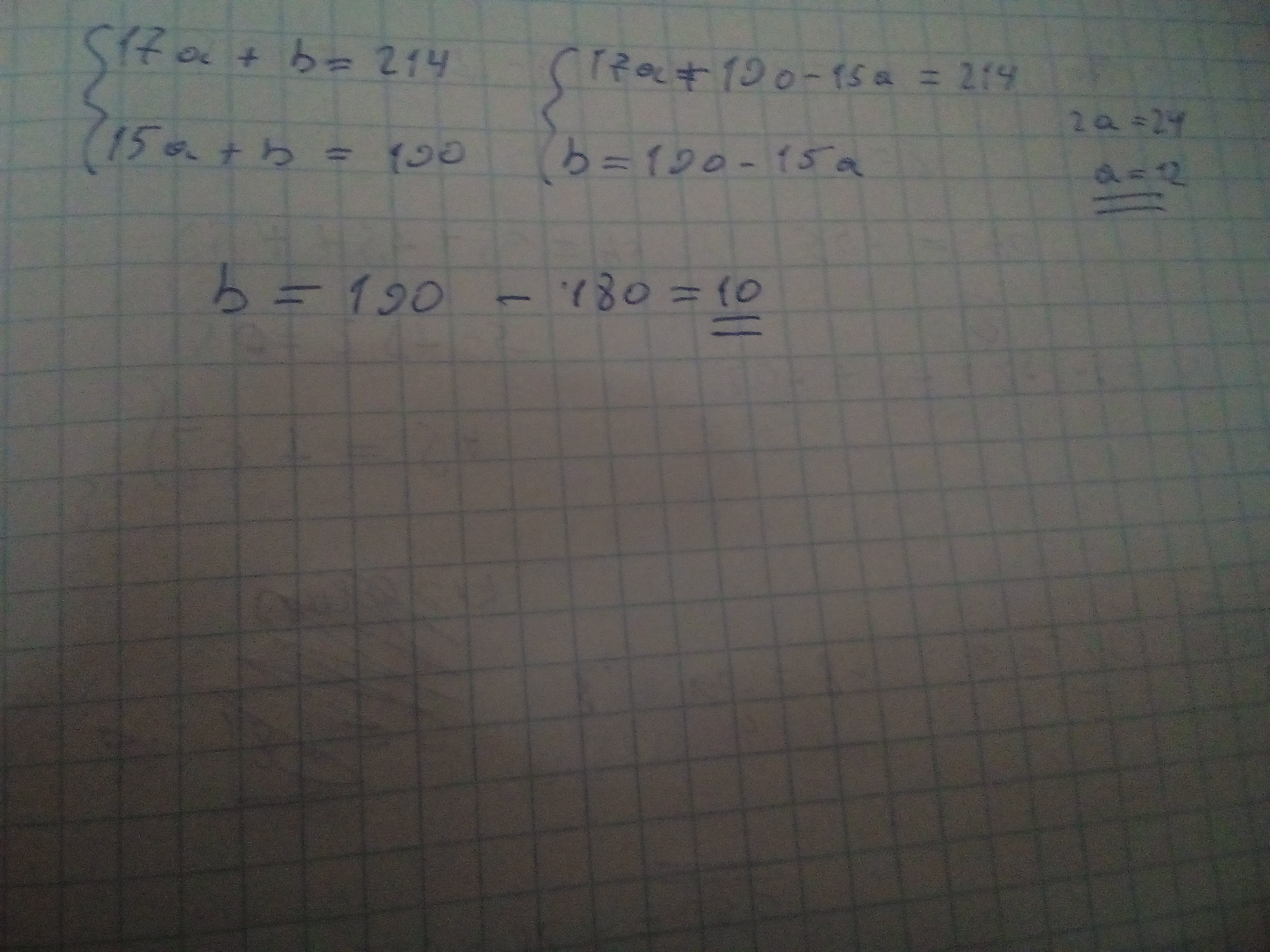
У мистера Фокса есть 18 камней: 17 из них весят одинаково, а один легче остальных, хотя на вид такой же, как остальные. Вес всех камней — натуральные числа. Их суммарный вес 214. Мистер Фокс потерял два камня и теперь вес оставшихся камней 190. Сколько весит легкий камень?

Ответы

Ответ дал: vladosziablits
0

Ответ:

10

Пошаговое объяснение:

214-((214-190)/2*17)=10

Ответ дал: bosps
0

Ответ:


Пошаговое объяснение:


Приложения:
Вас заинтересует