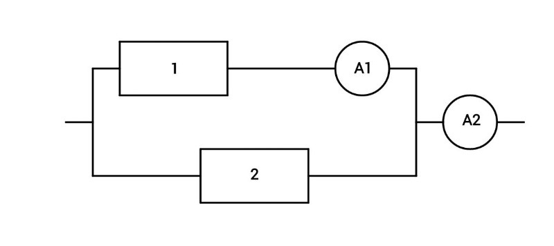
Два резистора подключены параллельно друг другу (см. рисунок). Сила тока в первом проводнике равна I1=1 А, сила тока в неразветвлённом участке цепи равна I=5 А . Определить сопротивление первого резистора R1, если сопротивление второго резистора равно R2=4 Ом Ответ выразить в Ом округлив до целых. Амперметры считать идеальными.
Приложения:

Ответы
Ответ дал:
0
.....................
Приложения:

Вас заинтересует
2 года назад
2 года назад
9 лет назад
9 лет назад
9 лет назад
9 лет назад