Срочно, очень
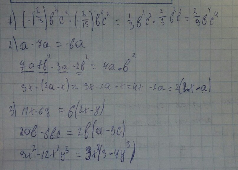
Запишите одночлен в стандартном виде:
б) (-1 2/3) b²c²*(-2/15)b²c²
Запишите многочлен в стандарном виде:
а) а-7а
б) 7a+b²-3a-2b²
в) 3х-(2a-х)
Вынесите за скобки общий множитель многочлена :
а) 12х-6у
б) 2ab-6bc
в) 9x²-12x²y³
Ответы
Ответ дал:
0
ФОТО ВСЕ

Приложения:

Ответ дал:
0
поставь лучший ответ
Ответ дал:
0
хорошо, сейчас
Ответ дал:
0
смог только оценку поставить. кнопки "лучший ответ" - нету
Ответ дал:
0
завта поставишь?
Ответ дал:
0
да, обязательно)
Вас заинтересует
2 года назад
2 года назад
3 года назад
9 лет назад
9 лет назад
9 лет назад
9 лет назад