• Предмет: Алгебра
  • Автор: lerner0306
  • Вопрос задан 8 лет назад

замените выражение тождественно равным:
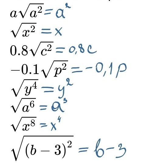
a sqrt{ {a }^{2} }
 sqrt{ {x}^{2} }
0.8 sqrt{ {c}^{2} }
 - 0.1 sqrt{ {p}^{2} }
 sqrt{ {y}^{4} }
 sqrt{ {a}^{6} }
 sqrt{ {x}^{8} }
 sqrt{ {(b - 3)}^{2} }

Ответы

Ответ дал: mrKITTYmeow
0
ответы на фотографии
Приложения:
Ответ дал: lerner0306
0
огромное спасибо
Вас заинтересует