• Предмет: Алгебра
  • Автор: 29282
  • Вопрос задан 8 лет назад

ПОМОГИТЕ, АЛГЕБРА СРООЧНОО

Приложения:

Ответы

Ответ дал: танятина
0

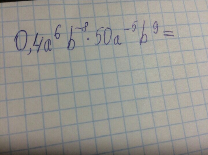
0,4a^6b^-8*50a^-5b^9=20ab

Ответ дал: 29282
0
??
Ответ дал: танятина
0
сек
Ответ дал: танятина
0
ты 0,4 умножаешь на 20
Ответ дал: 29282
0
ок
Ответ дал: танятина
0
а степени складываются
Ответ дал: girl5861
0
ответ получается 20а^1б^1
Вас заинтересует