• Предмет: Алгебра
  • Автор: ABC1234567
  • Вопрос задан 11 лет назад

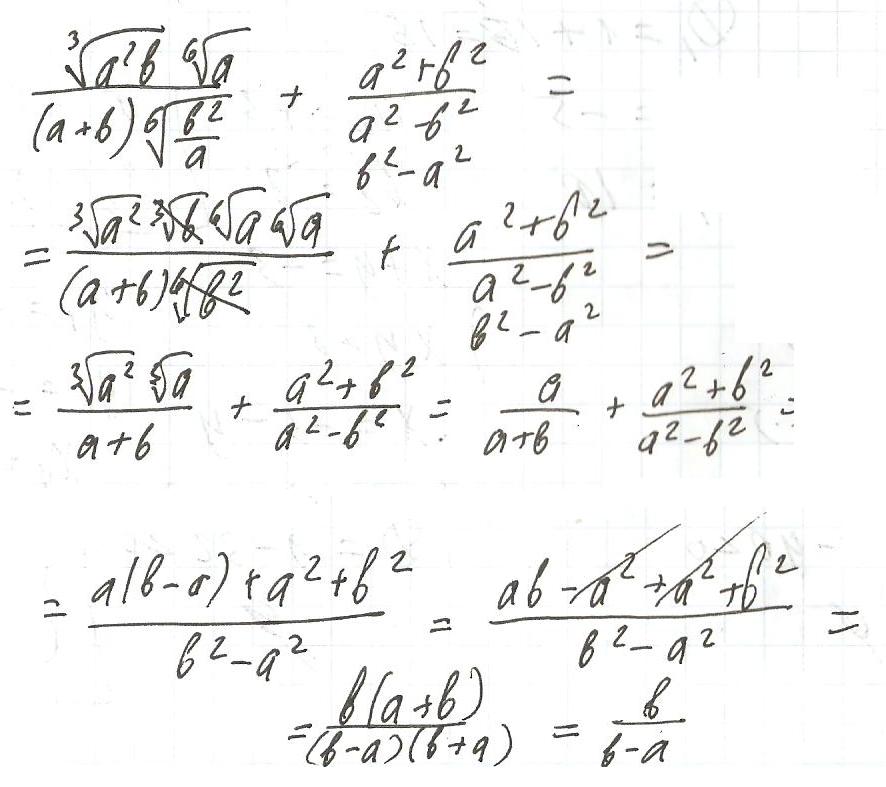
во вложении)))))))))))))))))))))))))

Приложения:

Ответы

Ответ дал: Artem112
0
 sqrt[3]{3} = sqrt[30]{3^{10}} = sqrt[30]{59049} 
\
 sqrt[5]{5} = sqrt[30]{5^6} = sqrt[30]{15625} 
\
 sqrt[6]{6} = sqrt[30]{6^5} = sqrt[30]{7776} 
\
 sqrt[3]{3} > sqrt[5]{5} > sqrt[6]{6}
Приложения:
Вас заинтересует