• Предмет: Математика
  • Автор: MilShaik
  • Вопрос задан 8 лет назад

решите удобным способом:б) 4×45+4×55+6×55+6×45

Ответы

Ответ дал: genius20
0

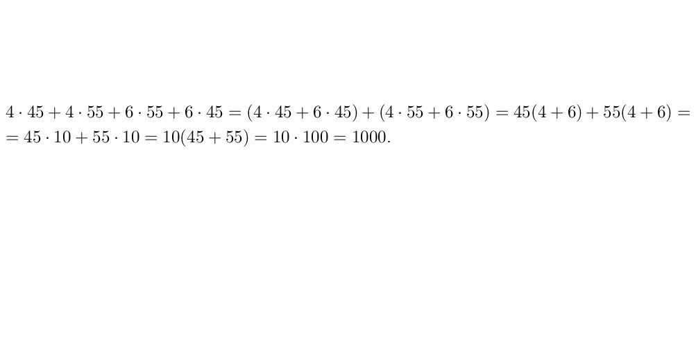
Удобнее всего несколько раз вынести общий множитель.

***

Если появятся какие-нибудь вопросы — задавайте.


Если моё решение оказалось полезным, смело отмечайте его как «лучший ответ».

Приложения:
Ответ дал: rai58
0
4*45+4*55+6*55+6*45= 4*(45+55) + 6*(55+45)= 400+600=1000
Приложения:
Вас заинтересует