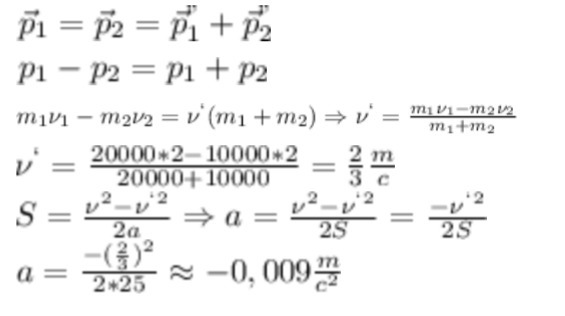
Вагон массой 20т, движущийся по горизонтальному пути со скоростью 2м/с сталкивается с другим вагоном массой 10т, движущимся ему на встречу со скорость 2м/с,и автоматически с ним сцепляется.С каким ускорением будут двигать вагоны после сцепки,если они пройдут до полной остановки 25м?
Ответы
Ответ дал:
0
Надеюсь правильно, ответ вложу в фото
Приложения:

Вас заинтересует
2 года назад
3 года назад
3 года назад
9 лет назад
9 лет назад
9 лет назад