• Предмет: Математика
  • Автор: boss8584
  • Вопрос задан 8 лет назад

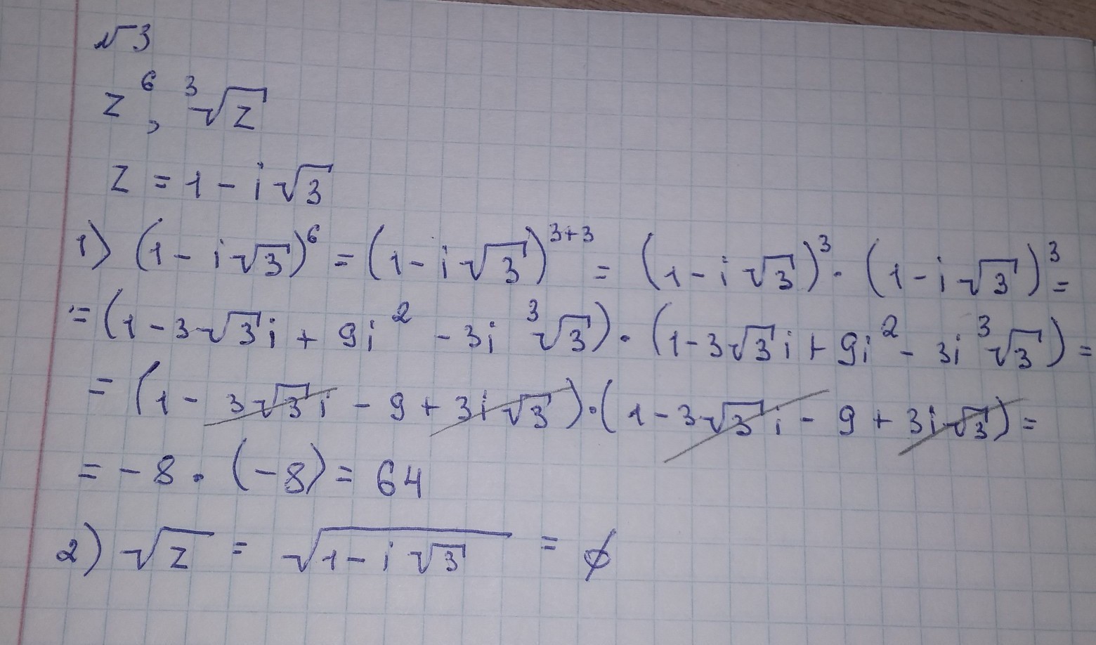
2 и 3 помогите пожалуйста

Приложения:

Ответы

Ответ дал: kykyryska0063
0
2 у меня не получилось, а вот номер 3 получился.Если что пиши, заранее пожалуйста)
Приложения:
Ответ дал: boss8584
0
Спасибо большое
Вас заинтересует