• Предмет: Алгебра
  • Автор: tuttifruttiiiii
  • Вопрос задан 8 лет назад

ПОМОГИТЕ С АЛГЕБРОЙ !!! Узтест!!!

Приложения:

Ответы

Ответ дал: lena4112
0
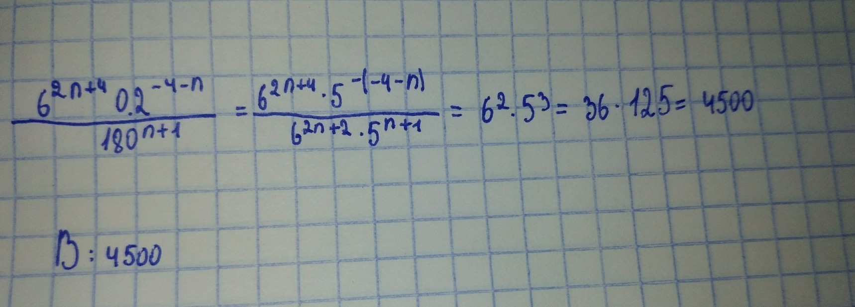
Ответ 4500..................
Приложения:
Ответ дал: tuttifruttiiiii
0
Помоги ещё пожалуйста ) 24^122/2^243*6^119
Ответ дал: lena4112
0
Можешь выложить фотографию и я решу...
Ответ дал: lena4112
0
Просто не понимаю что написано 24^122/2^243×6^199
Вас заинтересует