Помогите решить производные.
Пожалуйста, с подробным решением. Очень важно.

Приложения:

Ответы

Ответ дал: Miroslava227
0
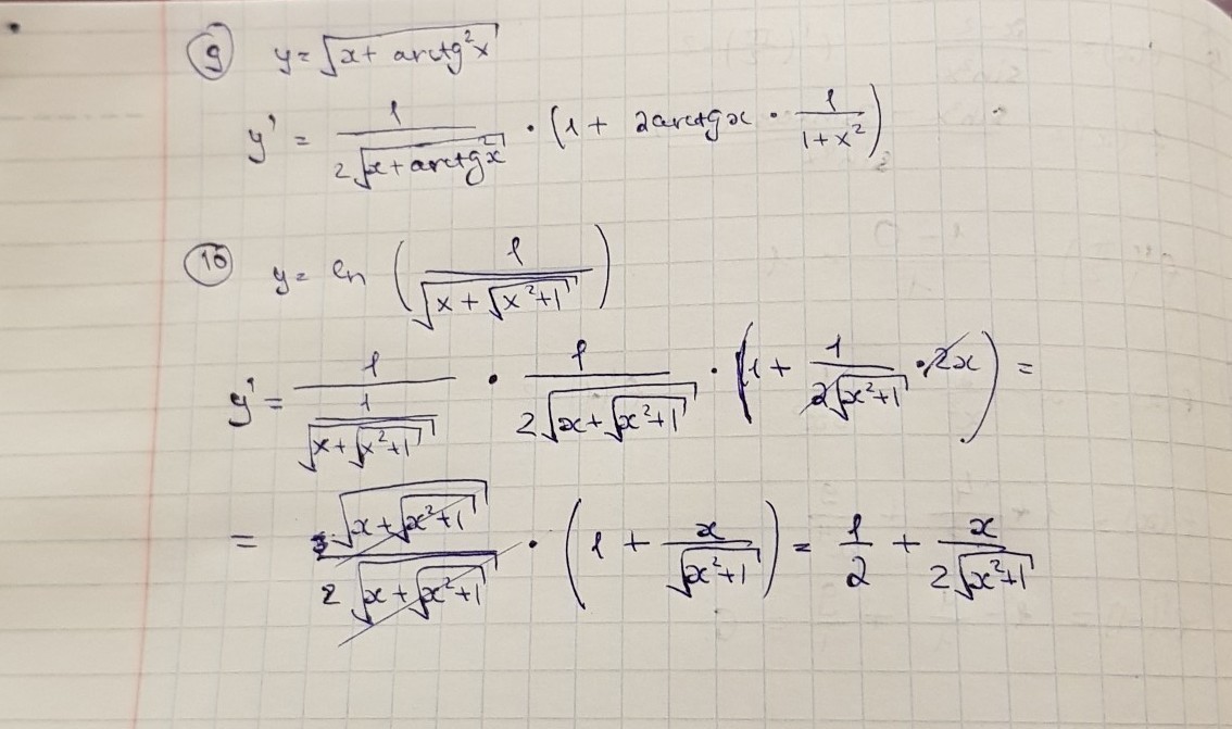
решение на фотографиях
Приложения:
Ответ дал: Lellu15
0
Извините за беспокойство вы могли бы помочь мне с решением очень нужна ваша помощь
Вас заинтересует