Ответы
Ответ дал:
0
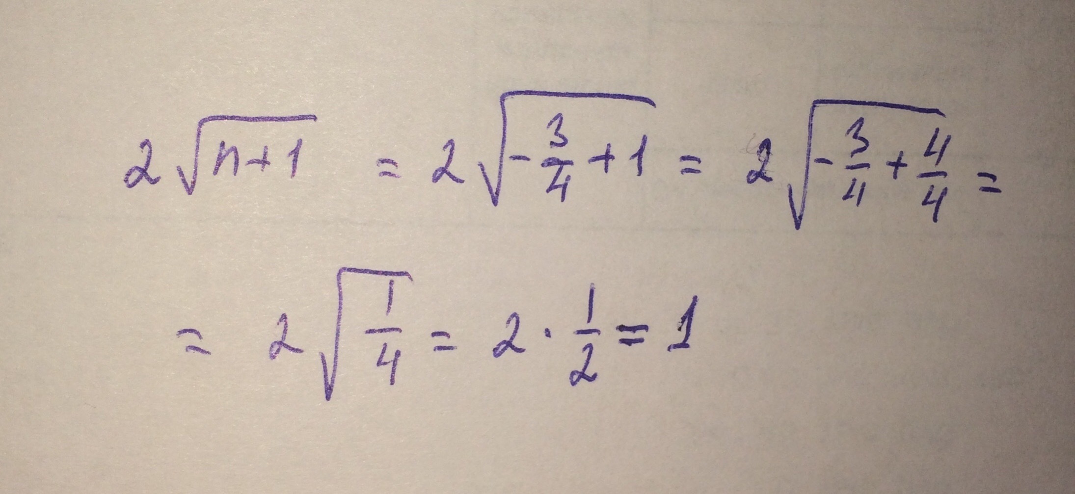
Подставляем вместо n значение n=–3/4 и считаем. Представим 1 в виде дроби 4/4, под корнем получаем 1/4, извлекаем корень, получаем 1/2, умножаем на 2, равно 1
Приложения:

Вас заинтересует
2 года назад
2 года назад
3 года назад
9 лет назад
9 лет назад
9 лет назад