• Предмет: Математика
  • Автор: restgaming
  • Вопрос задан 8 лет назад

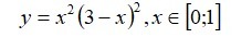
Найдите набольшее и наименьшее значение функции

Приложения:

Ответы

Ответ дал: MeDi0N
0

*******************************************************

Приложения:
Вас заинтересует