Ответы
Ответ дал:
0
б1) 3х-10х-5=9-6х
3х-10х-5-9+6х=0
-х-14=0
-х=14
х=-14
3х-10х-5-9+6х=0
-х-14=0
-х=14
х=-14
Ответ дал:
0
спасибо , а с остальным не поможешь?)
Ответ дал:
0
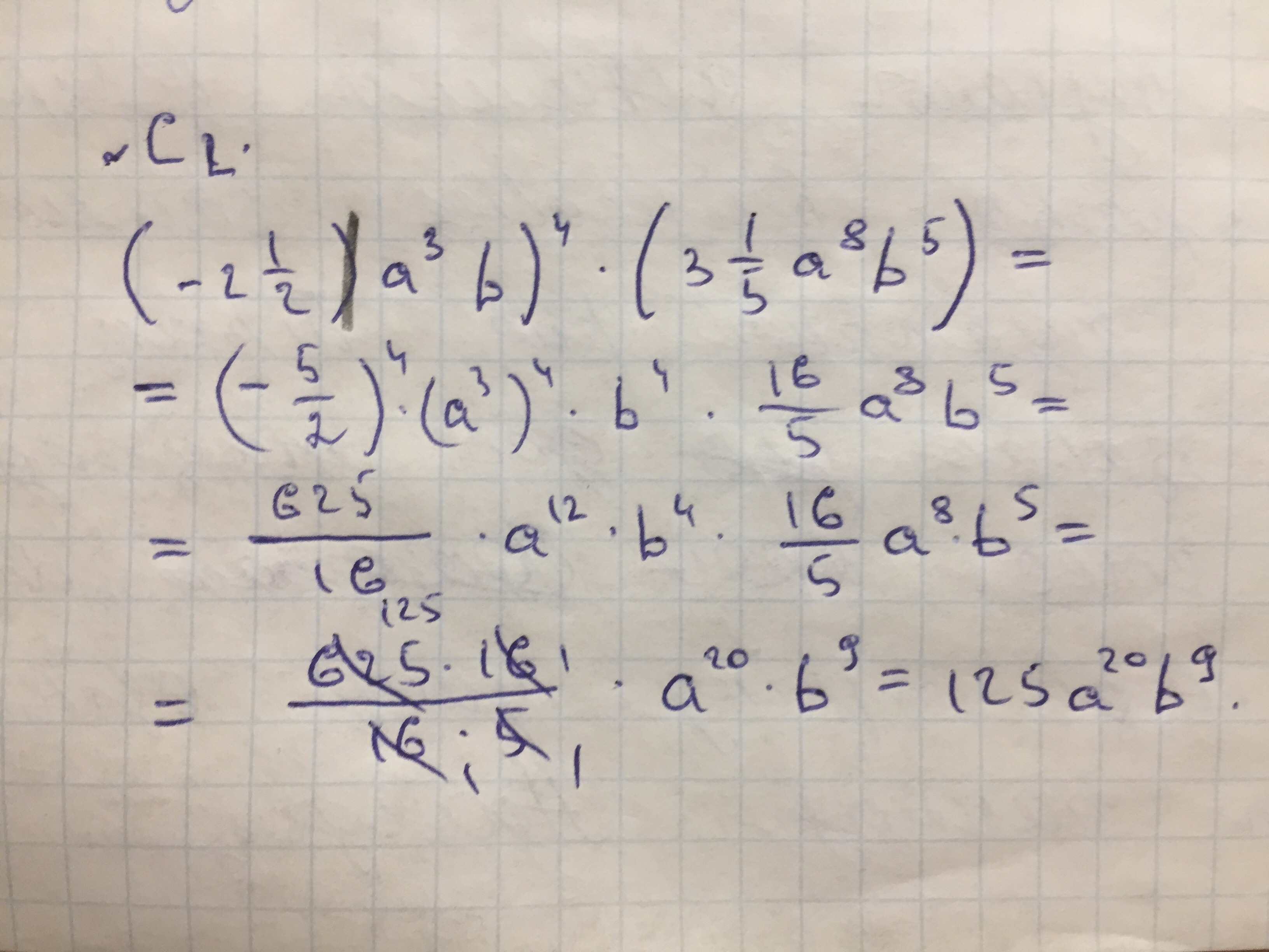
Смотри в приложении ( сделано, оцени плиз ). Удачи! ;)
Приложения:



Ответ дал:
0
забыл
Ответ дал:
0
жаль , можешь написать оч выручишь , ты и так выручил )
Ответ дал:
0
Ок
Ответ дал:
0
Третьей фоткой добавил
Ответ дал:
0
спасибо
Вас заинтересует
2 года назад
2 года назад
3 года назад
3 года назад
9 лет назад
9 лет назад
9 лет назад
9 лет назад