• Предмет: Математика
  • Автор: juliana5557
  • Вопрос задан 8 лет назад

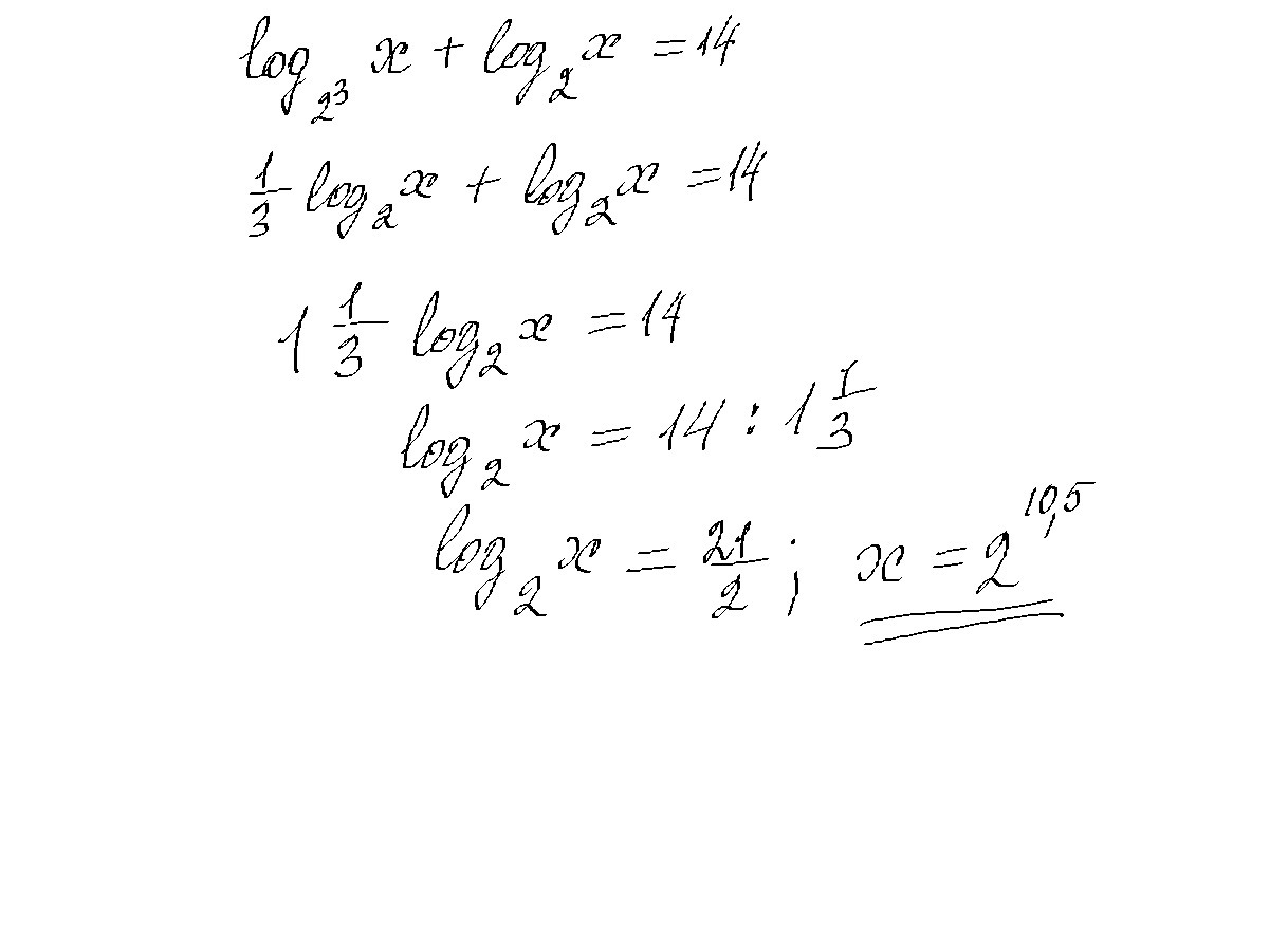
Решите уравнение log8x+log2x=14

Приложения:

Ответы

Ответ дал: vavdovina55
0

Ответ:


Пошаговое объяснение:


Приложения:
Вас заинтересует