Ответы
Ответ дал:
0
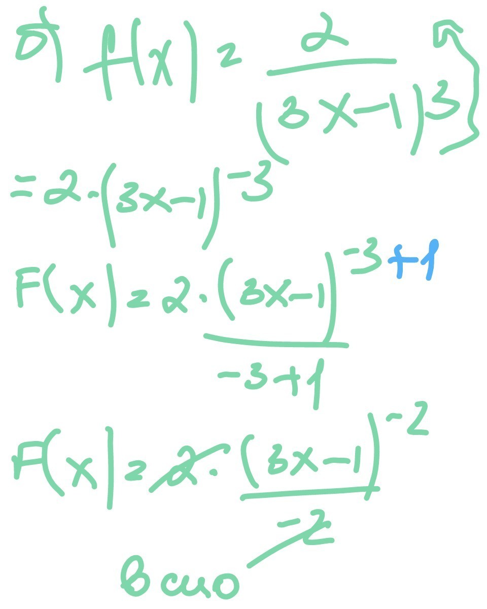
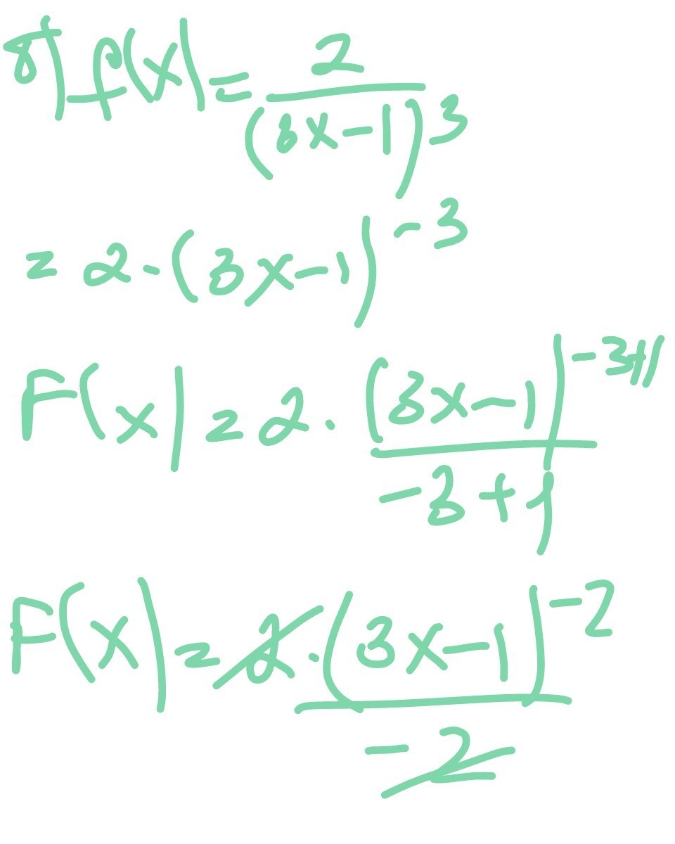
для косинуса тоже сейчас напишу
Приложения:




Вас заинтересует
2 года назад
2 года назад
3 года назад
3 года назад
8 лет назад
8 лет назад
9 лет назад