• Предмет: Алгебра
  • Автор: Flombertog16
  • Вопрос задан 8 лет назад

Помогите решить логарифмы:
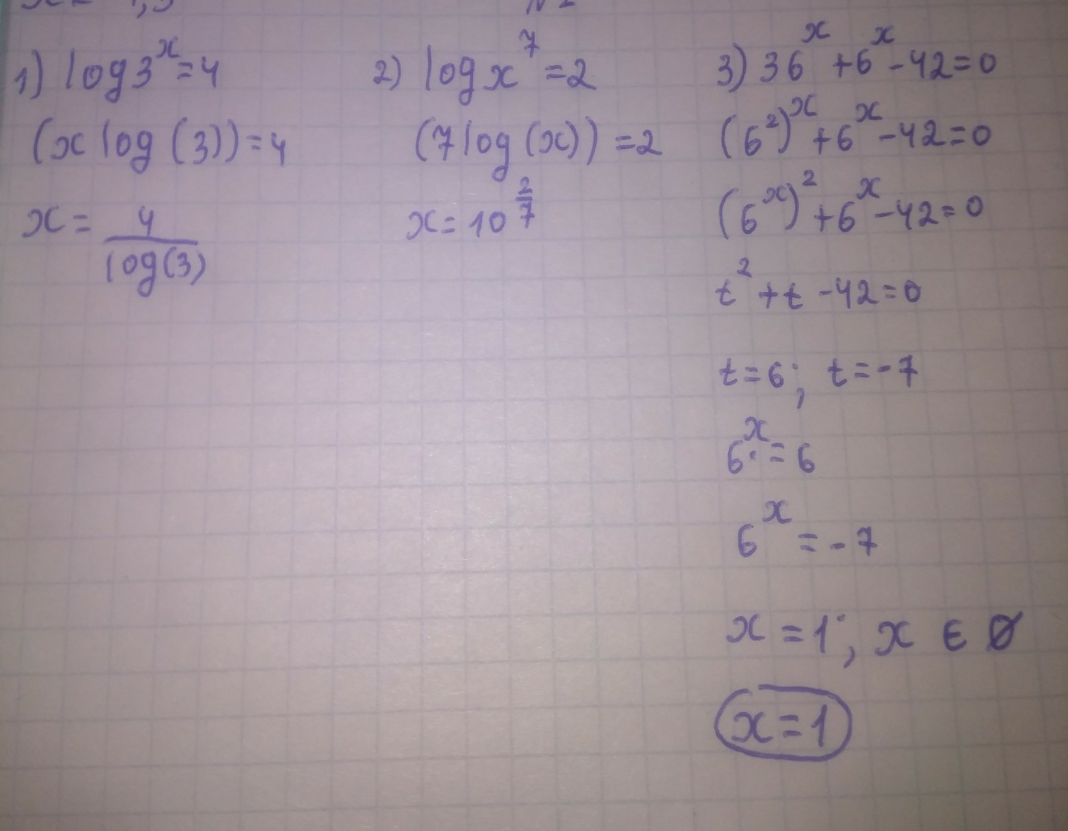
1) log3^x=4
2)logx^7=2
3)36^x+6^x-42=0

Ответы

Ответ дал: avakyanchanel
0
Решение на фото, не забудь поставить лайк, и сделать мой ответ - лучшим.
Приложения:
Вас заинтересует