• Предмет: Алгебра
  • Автор: zzzaharrr
  • Вопрос задан 8 лет назад

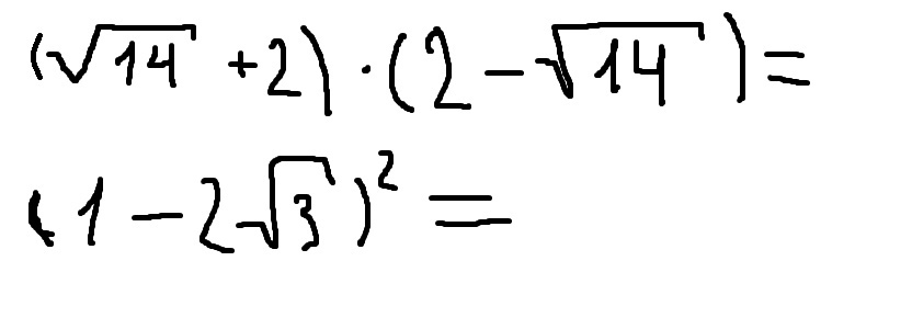
Выполните действие:

p.s очень срочно нужно

Приложения:

Ответы

Ответ дал: 7x8
0

(sqrt{14}+2)cdot(2-sqrt{14})=(2+sqrt{14})cdot(2-sqrt{14})=2^2-(sqrt{14})^2=4-14=-10\\(1-2sqrt3)^2=1^2-2cdot1cdot2sqrt3+(2sqrt3)^2=1-4sqrt3+12=13-4sqrt3

Вас заинтересует