• Предмет: Алгебра
  • Автор: mariabilak05
  • Вопрос задан 8 лет назад

розв'яжіть рівняння 3y²-(y-2)(3y+1)....Потрібно вже!!!

Ответы

Ответ дал: krmlk
0
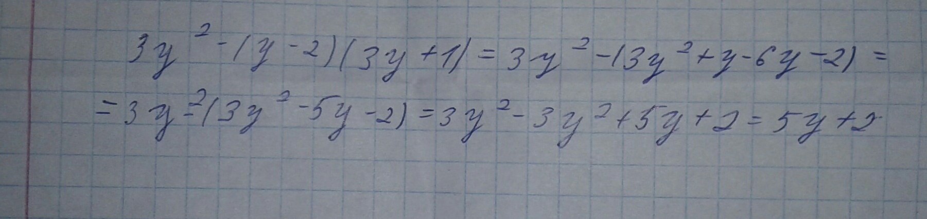
3y {}^{2} - (y - 2)(3y + 1) = 3y {}^{2} - 3y {}^{2} + 5y + 2 = 5y + 2
Приложения:
Ответ дал: krmlk
0
Я вже добавила фотографію до розв'язання, там все детально розписано.
Ответ дал: mariabilak05
0
Дякую)Але чому у розписаному пише 5y+2 ,а в короткому варіанті 3y²-3y²???
Ответ дал: krmlk
0
Бо воно скорочується і залишається 5y
Ответ дал: krmlk
0
5 y + 2
Ответ дал: krmlk
0
Подивись, я ще додала фотографію
Вас заинтересует