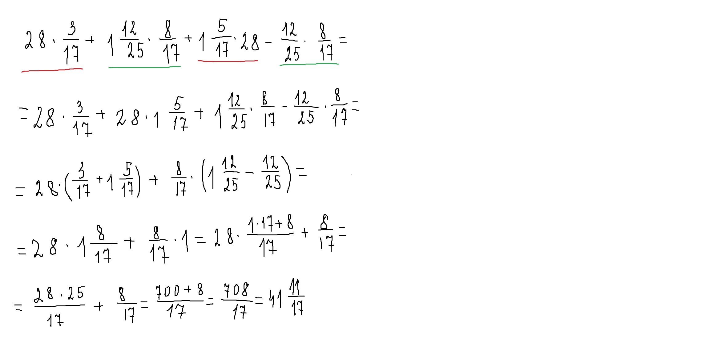
ребята помогите пж 6 класс умоляю это срочно
Вычислите наиболее удобным способом: 28 *
+1
*
+1
*28-
*
. Напишите решение с пояснением.
желательно с решением
Ответы
Ответ дал:
0
Ответ:
Пошаговое объяснение:
Приложения:

Ответ дал:
0
Ответ:надо применить переместительный закон сложения,а потом вынести общий множитнль за скобки
Приложения:

Вас заинтересует
2 года назад
2 года назад
3 года назад
9 лет назад
9 лет назад
9 лет назад