Ответы
Ответ дал:
0
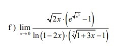
лови решение на фото...
Приложения:
Ответ дал:
0
не бред, а нуль будет
Ответ дал:
0
вместо х ставишь значение 0 и считаешь
Ответ дал:
0
1) если вместо x поставить 0, то можно определить только тип предела, а не сам предел
2)даже если следовать вашему неправильному решению, то при постановке 0 в ln(1-2x) будет 0, следовательно будет 0/0 а не 0/-1
2)даже если следовать вашему неправильному решению, то при постановке 0 в ln(1-2x) будет 0, следовательно будет 0/0 а не 0/-1
Ответ дал:
0
ну все же нуль ответ
Ответ дал:
0
да не нуль ответ, если не знаешь, не пиши ничего
Вас заинтересует
2 года назад
2 года назад
3 года назад
3 года назад
9 лет назад
10 лет назад
10 лет назад