• Предмет: Математика
  • Автор: masmaks13
  • Вопрос задан 8 лет назад

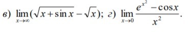
Вычислить пределы функций, срочно!!!

Приложения:

Ответы

Ответ дал: krolikzajcev
0

lim_{x to infty}frac{x+sin x-x}{sqrt{x+sin x } +sqrt{x} } = lim_{x to infty}frac{sin x}{sqrt{x+sin x } +sqrt{x} }=0;\\ lim_{x to0 } frac{(e^{x^2}-1)+(1-cos x)}{x^2} =lim_{x to0 } frac{(e^{x^2}-1)}{x^2}+lim_{x to0 } frac{(1-cos x)}{x^2}=1+1/2=3/2



Вас заинтересует