• Предмет: Геометрия
  • Автор: zaman71
  • Вопрос задан 8 лет назад

Помогите с Геометрией!!

Приложения:

Ответы

Ответ дал: vikll
0

Помогите с Геометрией!!


Приложения:
Ответ дал: zaman71
0
какие треугольники подобные ?как получил ?
Ответ дал: vikll
0
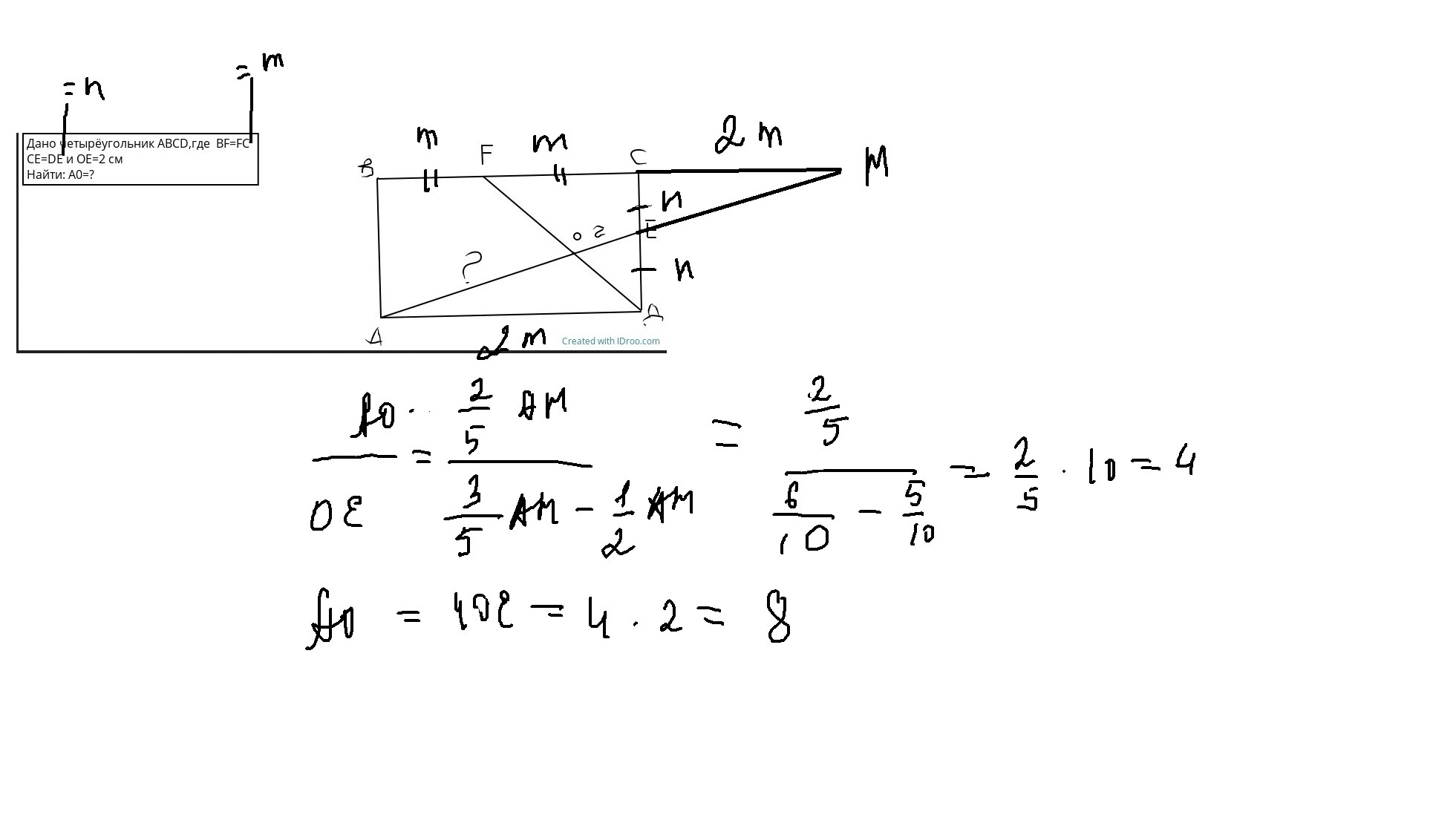
Пусть М-точка пересечения прямой АЕ с продолжением ВС. ΔАДЕ=ΔЕСМ, а ΔАОД∾∆МОЕ.
Ответ дал: vikll
0
Правильно будет ΔАДЕ=ΔМСЕ,а ΔАОД∾∆МОF.
Ответ дал: yugolovin
0

Как дополнительно нам пояснил автор задачи, ABCD - прямоугольник. Однако по зрелому размышлению я пришел к мысли, что задачу можно сделать для более широкого класса четырехугольников - параллелограммов.

Итак, пусть ABCD - параллелограмм. Продолжим FD до пересечения с продолжением AB в точке G. Легко заметить, что треугольники AGO и EDO подобия с коэффициентом подобия 4. В самом деле, углы при вершинах O в них равны как вертикальные, углы A и E - как внутренние накрест лежащие при пересечении параллельных прямых AB и DC прямой AE. Коэффициент подобия найден так: BF - это половина BC=AD и BF параллельно AD, поэтому BF - средняя линия треугольника AGD. А тогда AG=2AB=4DE. Остается написать отношение соответственных сторон AO и EO, frac{AO}{EO}=4; AO=4EO; AO=8.

Ответ: 8

Приложения:
Вас заинтересует