Ответы
Ответ дал:
0
Сначала возвести в 3 степень 4х.

Умножить х в числителе и знаменателе.

Сократить х^(-4).

Остаётся только разделить 64 на 4

Ответ: 16.
Умножить х в числителе и знаменателе.
Сократить х^(-4).
Остаётся только разделить 64 на 4
Ответ: 16.
Ответ дал:
0
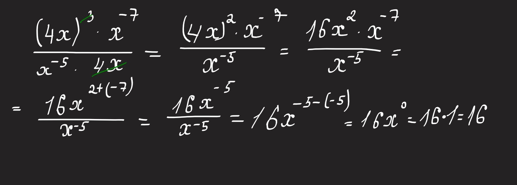
Решение прикреплено. Удачи
Приложения:

Вас заинтересует
2 года назад
2 года назад
3 года назад
3 года назад
9 лет назад
9 лет назад