• Предмет: Алгебра
  • Автор: rozoviuguse
  • Вопрос задан 8 лет назад

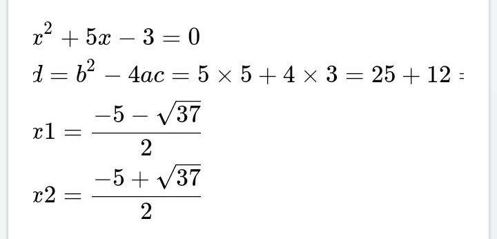
кто может объяснить овощу, что дальше уже никак нельзя сократить корни и почему!?
P.s: всё на фото

Приложения:

Ответы

Ответ дал: Gimngazia
0

Нет, тут нечего сокращать.

Если подкоренное выражение разложить множители рациональных чисел, в числе которых было бы число, которое можно представить в виде квадрата, то следовало бы вынести это число за квадратный корень. Такой процесс называется "Вынесение множителя из-под корня"

В данном случае 37 - подкоренное число. 37 невозможно разложить на множители, которые можно представить в виде квадрата и вынести за корень. Рассмотрим на примере  √48.

√48 = √(3*4²) = 4√3.

У нас, как вы заметили, другой  случай. Поэтому выражение так и остаётся - √37

Ответ дал: matilda17562
0
То, что Вы называете " сокращением корней", на самом деле называют "вынесением множителя из-под знака корня". Есть неточность и в самом пояснении. Возвести в квадрат можно любое число. А вот представить в виде квадрата рационального числа, чтобы позже вынести из-под знака корня, можно не любое число, это верно.
Ответ дал: Gimngazia
0
Я всё исправлю. Спасибо Вам большое :)
Вас заинтересует