• Предмет: Математика
  • Автор: capoalina
  • Вопрос задан 8 лет назад

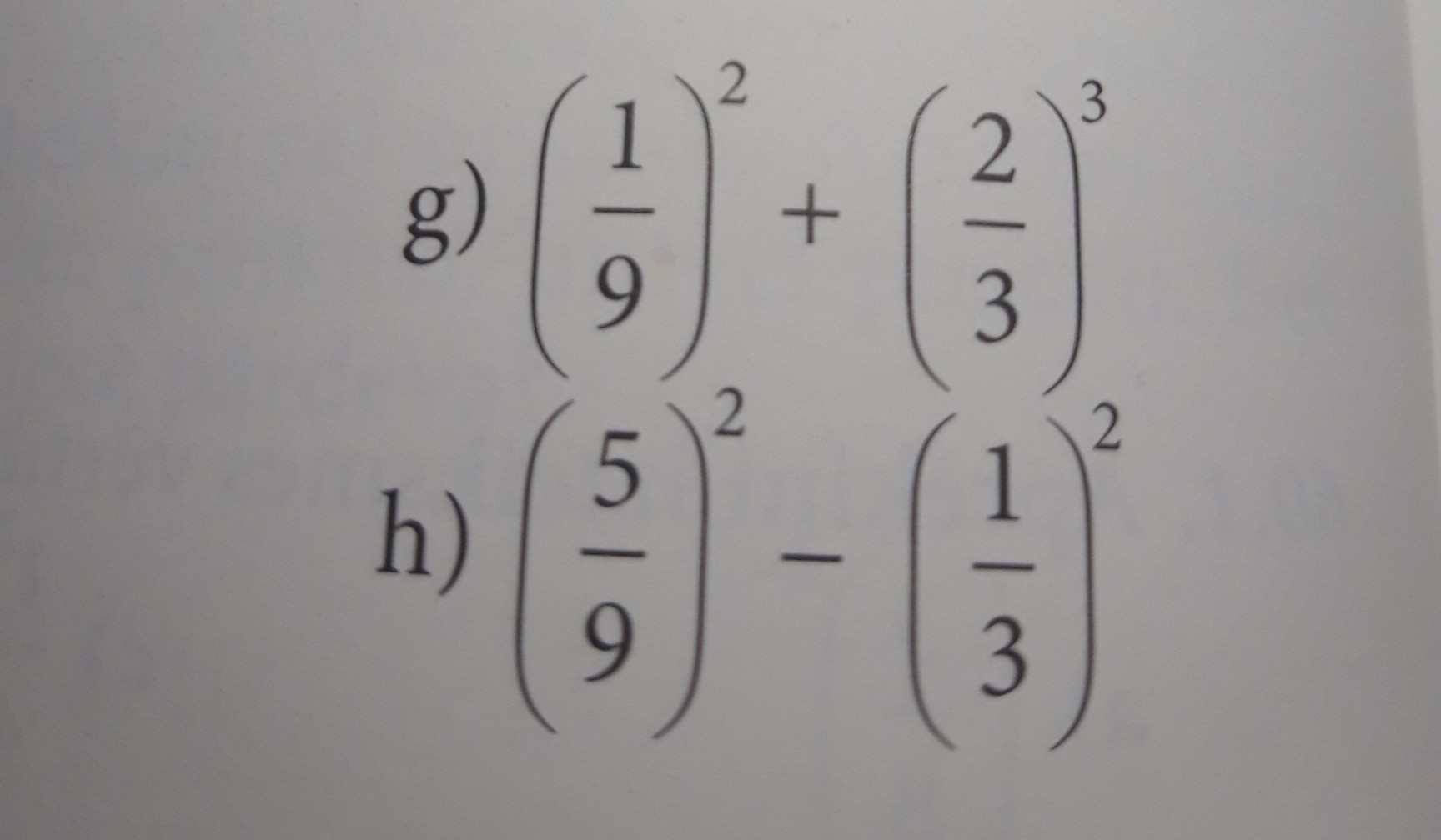
СКОЛЬКО РАВНО, СКАЖИТЕ ПЖ

Приложения:

Ответы

Ответ дал: rina2403k
0

( frac{1}{9} ) {}^{2}  + ( frac{2}{3} ) {}^{3}  =  frac{1}{81}  +  frac{8}{27}  =   frac{1 + 24}{81}  =  frac{25}{81}   \ ( frac{5}{9} ) {}^{2}  - ( frac{1}{3} ) {}^{2}  =  frac{25}{81}  -  frac{1}{9}  =  frac{25 - 9}{81}  =  frac{16}{81}
Вас заинтересует