• Предмет: Алгебра
  • Автор: REMBER
  • Вопрос задан 8 лет назад

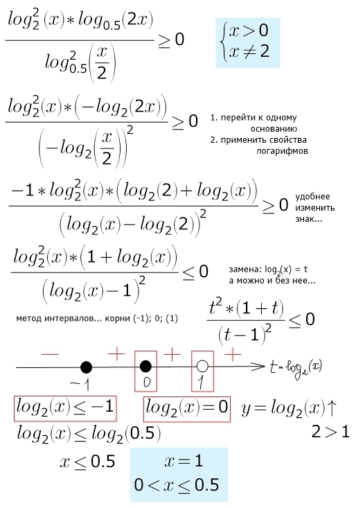
помогите решить логарифмическое неравенство

Приложения:

Ответы

Ответ дал: Лeнa
0

Вот :)

Только посмотри, я первое действие не записала, я вынесла минус в числителе (0.5 это 2 в степени -1)

Приложения:
Ответ дал: REMBER
0
спасибо большое !
Ответ дал: LFP
0

````````````````````````````````````

Приложения:
Вас заинтересует
10 лет назад