• Предмет: Алгебра
  • Автор: nikolaevaviktopenjtb
  • Вопрос задан 8 лет назад

помогите с 7 заданием, пожалуйста.

Приложения:

Ответы

Ответ дал: Dushzhanov987
0

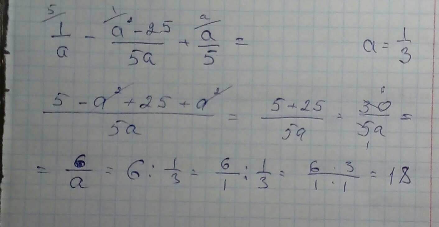
Приводим к общему знаменателю.

frac{1}{a} -frac{a^2-25}{5a}+frac{a}{5}=frac{5-a^2+25+a^2}{5a}=frac{30}{5a}=frac{6}{a}

если a=frac{1}{3}, то frac{6}{a}=6cdot3=18

Ответ: 18

Ответ дал: ireena
0

решение на фотографии

Приложения:
Ответ дал: nikolaevaviktopenjtb
0
эх, и кому верить
Вас заинтересует