• Предмет: Математика
  • Автор: Аноним
  • Вопрос задан 8 лет назад

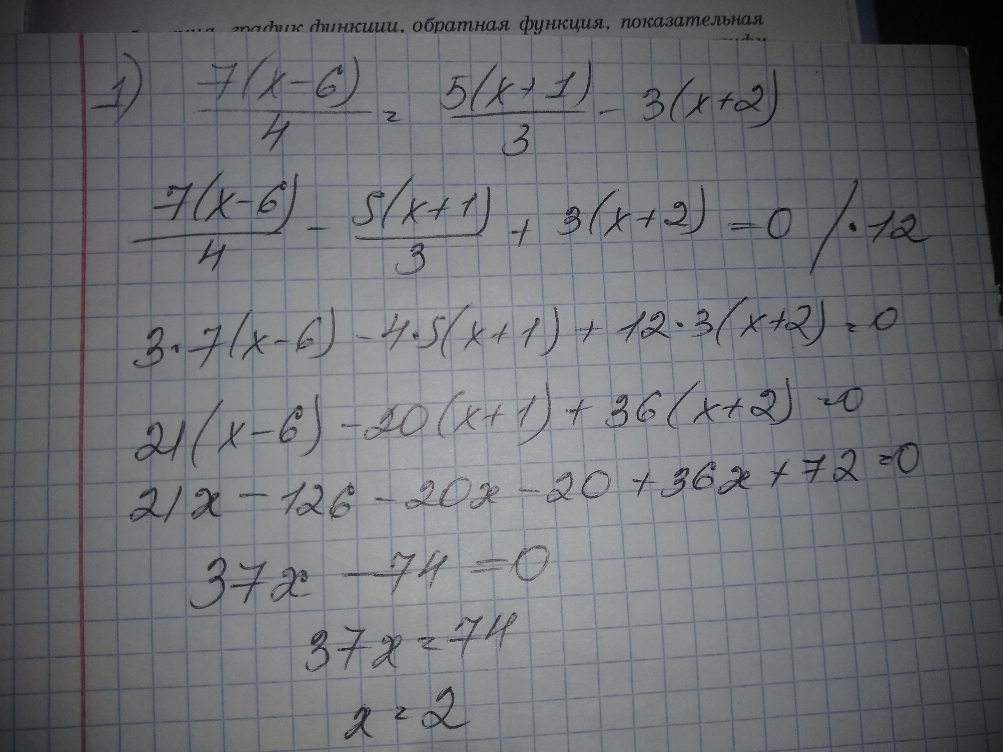
решите уравнения:7(х-6)/4=5(х+1)/3-3(х+2)

Приложения:

Ответы

Ответ дал: okroshka13
0
вот решила надеюсь поймёшь подчерк
Приложения:
Ответ дал: Аноним
0
2,3. помагите
Ответ дал: Аноним
0
пожалуста
Ответ дал: Аноним
0
помагите
Вас заинтересует